+14º
переменная облачность
ветер 2,8 м/с, СВ

Реклама: ООО "ОЛЕАНДР-МЕД", ИНН 9111026025

Реклама: ООО «НПП «Вентос-Крым» ИНН 9111011396 

Реклама: ИП Бехтер А.А., ИНН 911113102616

Реклама: Самозанятый Вандышев Александр Николаевич, ИНН 911113162887

Реклама: ИП Кравченко Е. Л., ИНН 911109375963

Реклама: ИНН 910806164654 - ИП Лукьянова А.А.

Реклама: ИП Бережной А.Г., ИНН 911116150093

Реклама: ООО "ПРАЙМЕР", ИНН 9102054851

Архив
«    Июль 2019    »
ПнВтСрЧтПтСбВс
1234567
891011121314
15161718192021
22232425262728
293031 

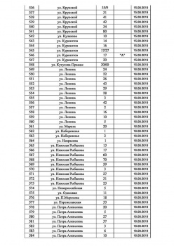
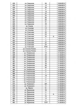
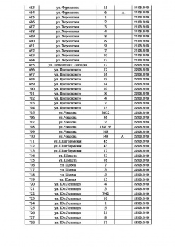
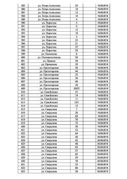
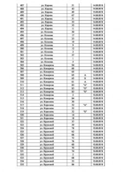
Керчанам сообщают еще один график выездов по проведению кадастровых работ

18.07.2019 10:35 4 665 Новости » Общество

Администрация города Керчи сообщает второй график выездов по проведению кадастровых работ.  Об этом сообщает администрация Керчи, - передает Керчь.ФМ.

Выезды пройдут с 29 июля.

 

С графиком выезда до 29 июля можно ознакомиться здесь.

0 голосов
Служба новостей Керчь.ФМ

Если вы увидели опечатку в тексте самой статьи, то выделите её и нажмите Ctrl+Enter.

Добавить комментарий
Информация
Комментировать статьи на сайте возможно только в течении 10 дней со дня публикации.

Реклама на ФМ

Реклама: ИП Батурина-Казбанова Виктория Геннадьевна, ИНН 910510158934

Изготовление памятников

Реклама: ИП Кара - Иванов Ф. Л., ИНН 911108712253

Реклама: ИП Джум Д.А., ИНН 911111080237

Реклама: Гераскевич Галина Валерьевна , ИНН 911104425868

Реклама: ИП Киргетова Д. С., ИНН 9 111 097 444 66

Реклама: ИП Гришин И.И., ИНН 911107214600

Юридические услуги в Керчи. Громада София Валерьевна

Реклама: Юрист Громада С. В., ИНН 110204076670

Реклама: ООО «Зимний Сад» , ИНН 9111004342

Реклама: ИП Люшняк Р. А., ИНН 911100108113

Реклама: ИП Войтов В. В., ИНН 911101031030

Реклама: ООО "АКР", ИНН 9111029178

Реклама: ИП Кучеренко Э.В., ИНН 911100186665

Реклама: ИП Ищенко Е. А., ИНН 911100179516

Реклама: ИП Новиков Е. В., ИНН 911100059635

Фабрика натяжных потолков «Виктория»

Реклама: ИП Бережной А.Г., ИНН 911116150093

Наверх