+10º
ясно
ветер 8,2 м/с, ЮЗ

Реклама: ООО "ОЛЕАНДР-МЕД", ИНН 9111026025

Реклама: ИНН 910806164654 - ИП Лукьянова А.А.

Реклама: ООО «НПП «Вентос-Крым» ИНН 9111011396 

Реклама: Самозанятый Вандышев Александр Николаевич, ИНН 911113162887

Реклама: ИП Кравченко Е. Л., ИНН 911109375963

Реклама: ИП Бехтер А.А., ИНН 911113102616

Реклама: ИП Бережной А.Г., ИНН 911116150093

Реклама: ООО "ПРАЙМЕР", ИНН 9102054851

Архив
«    Август 2022    »
ПнВтСрЧтПтСбВс
1234567
891011121314
15161718192021
22232425262728
293031 
30.08.2022 14:00 2 316 Новости » Бизнес новости

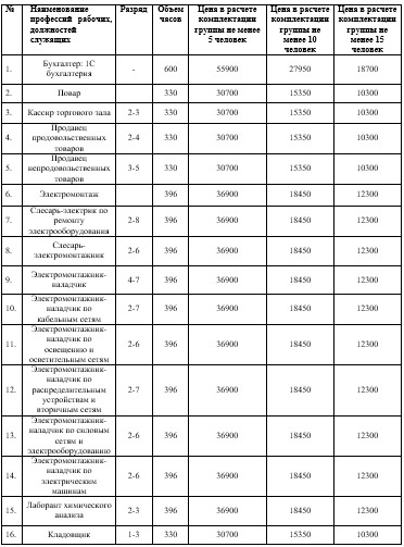
«Керченский политехнический колледж» объявляет набор!

Государственное бюджетное профессиональное образовательное учреждение Республики Крым

«Керченский политехнический колледж»

объявляет набор (по мере комплектования групп):

 

На курсы

повышения квалификации

по основной программе профессионального обучения.

 

Категория слушателей: лица, имеющие базовое профессиональное обучение.

По окончании обучения выдаются

удостоверение о повышении квалификации установленного образца

   

 

 

 

На программу переподготвки

 

Категория слушателей: лица, имеющие базовое профессиональное образование или свидетельство о профессиональном обучении.

По окончании обучения выдаются

свидетельство о присвоении рабочей профессии, должности служащего или Диплом о профессиональной переподготовке установленного образца

    

 

 

На обучение по программе

профессионального обучения

 

Категория слушателей: лица, не имеющие образования.

По окончании обучения выдаются

свидетельство о присвоении рабочей профессии, должности служащего

установленного образца

 

  

 

Курсы проводятся на базе

ГБПОУ РК «Керченский политехнический колледж»

по адресу: г. Керчь, ул. Войкова, 1.

Заявки на обучение на курсах принимаются по телефонам

+7 (978) 740-44-34

+3 (6561) 6-75-96

Если вы увидели опечатку в тексте самой статьи, то выделите её и нажмите Ctrl+Enter.

Добавить комментарий
Информация
Комментировать статьи на сайте возможно только в течении 10 дней со дня публикации.

Реклама на ФМ

Реклама: Гераскевич Галина Валерьевна , ИНН 911104425868

Реклама: ИП Гришин И.И., ИНН 911107214600

Реклама: ИП Батурина-Казбанова Виктория Геннадьевна, ИНН 910510158934

Реклама: ИП Кучеренко Э.В., ИНН 911100186665

Реклама: ООО «ММГ Скейтинг», ИНН 7718552410

Реклама: ИП Люшняк Р. А., ИНН 911100108113

Реклама: ИП Джум Д.А., ИНН 911111080237

Реклама: ООО «АЙКЛИНИК», ИНН 9111024148

Реклама: ООО "АКР", ИНН 9111029178

Юридические услуги в Керчи. Громада София Валерьевна

Реклама: Юрист Громада С. В., ИНН 110204076670

Реклама: ИП Ищенко Е. А., ИНН 911100179516

Реклама: ИП Войтов В. В., ИНН 911101031030

Реклама: ИП Бережной А.Г., ИНН 911116150093

Реклама: Оценщик Ляхнова Е. И., ИНН 911110909930

Фабрика натяжных потолков «Виктория»

Реклама: ИП Бережной А.Г., ИНН 911116150093

Наверх